Introduction
Throwing skills are elementary forms of movement that aim to manipulate a particular object in space. These skills are defined as ballistic motions initiated by explosive activation of agonists, followed by their relaxation period, and ending with deceleration due to the antagonist’s action or the passive stretching of connective tissue [1].
As a natural form of motion, throwing skills belong to a group of innate biotic motor skills that begin in early childhood [2]. Competition in athletic throwing disciplines takes place in highly standardised conditions (weight of launchers, throttle diameter, length, etc.), which are determined by the rules of the International Association of Athletics Federations (IAAF), and athletes are ranked based on exact measured results with actual devices. Therefore, the results in throwing disciplines are considered more objective compared to sports where outcomes are influenced by subjective judgement, as they rely on precise measurements obtained under standardised conditions defined by the rules of the IAAF [3]. Throwing can be defined as any activity in which a person tries to ‘throw’ an object, e.g., a ball or a disc, through the air using his or her arm. During throwing, movements consist of several individual lower- and upper-body actions. Throwing in sports is influenced by various factors. The purpose of the throw depends on the particular activity. For instance, accuracy is crucial in sports like baseball or handball [4, 5], while athletic throwing disciplines aim for longer throws in the shot put, discus, javelin, or hammer. The nature of throwing is also determined by factors such as space restrictions, technical limitations, and the thrower’s ability to produce the appropriate motion, which is influenced by their training and anthropological characteristics. Ultimately, every throw results from the interaction of the thrower’s neuro-muscular and musculoskeletal system, and success is linked to the body’s efficiency in producing the required movements for the throwing technique [6, 7].
The ability to overcome resistance, also known as strength, is essential for success in athletic throwing disciplines [8]. Motor skills, particularly those related to energy regulation mechanisms, significantly impact sports performance in these disciplines, more so than morphological characteristics [9]. Empirical research shows a strong correlation between motor tests that measure maximum power production and performance in the women’s hammer throw and men’s shot put [10, 11]. Motor tests such as deadlifts, cleans, bench presses, and full squats help develop maximum strength, which is crucial for generating the forces needed to release the device, resulting in greater throwing distances quickly.
While the role of explosive power and maximum strength in throwing events is crucial, the influence of motor tests on their development in specific phases of learning throwing disciplines has not been sufficiently investigated. Exercises such as standing long jumps and sprinting are often used to develop explosive power in throwers [12, 13]. These tests have been shown to be reliable indicators of success in javelin throwing. However, existing studies have primarily focused on the relationship between maximal and explosive strength and throwing performance at a single point in time. The development of motor skills and abilities occurs systematically and in parallel. Different exercises are applied at different stages of learning throwing disciplines to develop strength and power. This lack of sufficient investigation underscores the need for further research.
Building on previous research emphasising the importance of specific exercises for success in athletic throwing disciplines, this study focuses on analysing the impact of selected exercises applied through random learning methods on performance in the shot put, discus, and javelin. The aim of the research is to provide a deeper understanding of how these exercises contribute to the development of strength and explosive power, and their influence on different learning phases (initial, transitional, and final) in throwing disciplines.
Material and methods
Experimental design
The subjects were introduced to the goal and the design of the experiment at the very beginning of the experimental program. This study employed a longitudinal design, conducted over a period of five weeks, allowing for the systematic observation and measurement of participants across multiple time points. The five-week duration was chosen based on existing literature highlighting significant neural and motor adaptations within 4–6 weeks of consistent training [14]. During the investigation (testing days), all subjects did not have any obstacles that could prevent them from giving their maximum effort. To reduce any interference in the testing, they were asked to refrain from drinking alcohol/caffeine-containing beverages for 24 h before and during the testing days. With the goal of avoiding any circadian variations, all tests were performed in the morning at 9 am [15]. The experimental design and order of measurements are presented in Table 1. Subjects did not have any prior knowledge of the particular throwing discipline. The throwing skills evaluation and learning process sessions were performed at a local athletic club with a temperature ranging from 21.5 to 25.4°C during half of April and the entire month of May. The motor abilities assessment was performed inside a training gym, with an average ambient temperature of ~25°C.
Table 1
Study design
Subjects
Thirty-eight (n = 38) first-year undergraduate male students of the Faculty of Kinesiology, University of Split, Split, Croatia, volunteered to participate in this study. All students regularly attended the Athletics II course. Subjects gave their written consent after being thoroughly informed about the potential risks and purpose of this study. Each subject had the full right to withdraw from the study at any time during the testing days. The sample consisted of male participants of similar age, which allowed for controlled conditions regarding gender- and age-related variability in motor learning capacities and physiological adaptation. This approach enables a more precise understanding of the impact of the interventions studied on a heterogeneous population, thereby increasing the generalisability of the results. In order to participate in this study, subjects had to fulfil the following criteria: (i) being fully healthy (absence of pain, illness, injury or metabolic syndrome symptoms, or cardiovascular and pulmonary disease,), (ii) clear of any drug-related consumption, (iii) attendance for at least 80% of the course.
Measurements
After the techniques for each throwing discipline (shot put, javelin throw, and discus throw) were initially demonstrated and explained, participants were given time for one trial throw to familiarise themselves with the movements. Following the trial throw, the measurement phase began. Considering that it was the participants’ first time performing these techniques, they were allowed five attempts during the initial measurement phase. This approach accounted for the possibility of frequent rule violations, such as overstepping, due to unfamiliarity with the technique. Out of the five attempts, the three best throws were recorded for analysis. Participants were given a 5-minute rest between each attempt to ensure optimal recovery. The throws were evaluated by three independent judges, experts in throwing disciplines, with an average of 25 ± 3.4 years of experience as head or assistant coaches. The assessment criteria were adapted from the techniques described by Žuvela et al. [16]. Both major and minor errors were considered during the evaluation to provide a comprehensive assessment of each participant’s throwing skills.
Shot put (SP)
For the shot put, subjects used the O’Brian technique, a rotation(al) structure consisting of a pushing and pushing-back move, through which the thrower tries to improve their result. Major mistakes: (1) wrong basic holding position of the shot in the hand, (2) jump with two legs and/or the absence of one, (3) execution from the shoulder, (4) ‘basketball throw’, (5) foul due to a loss of balance and posture of the wrong leg in the power position. Minor mistakes: (1) irregular upper arm and elbow position, (2) loss of balance while pivoting, (3) insufficient momentum with the leg that circles around, (4) bad velocity of the implement at release, insufficient shot velocity at release and stepping over the sector line (unconsciously).
Javelin throw (JT)
The subjects were required to demonstrate the javelin throw through seven steps of a straight run and five crossover strides. Major mistakes: (1) wrong javelin hold, (2) throwing the javelin from the wrong leg (same-side hand and leg), (3) hitting the floor with the tail of the javelin, (4) stepping over / running over the line. Minor mistakes: (1) incorrect distance between the javelin and the head (too small / big), (2) irregular running rhythm, uncontrolled movement of the javelin while running, from straight ahead to crossover, (3) bad release angle, irregular position of the javelin (bent arm) and bad velocity of the javelin at release.
Discus throw (DT)
The subjects were required to demonstrate DT through the traditional rotation technique. Major mistakes: (1) movement of the front leg, (2) uncontrolled discus throw – foul flight, (3) irregular throw / stepping out of the circle due to a loss of balance and throwing the discus while running in a circle. Minor mistakes: (1) wrong position of the arms while throwing, (2) uncontrolled activity performance – throwing only by hand, (3) bad angle of discus release and fouls committed during the exit phase.
The sample of variables for the assessment of strength, power and speed consisted of 12 tests: for strength: bench press [17], deadlift [18] and pull-ups [19], for power: 3-, 5-kg medicine ball throw; standing long jump [20], Sargent jump test [21] and triple jump [22] and for speed: 5-, 10- and 20-m sprint [23]. All subjects were tested using the same protocol and order: (1) power assessment, (2) speed assessment, (3) strength assessment.
The bench press, deadlift, and pull-ups were performed during the strength assessment following a standardised protocol for determining maximal strength using the one-repetition maximum (1rM) method [24]. Participants began the testing with a progressive warm-up, after which the load was gradually increased until they reached their maximal capacity. The analysis included only one successful maximal attempt for each test to ensure data consistency and reliability. Pull-ups were conducted with additional weight attached to a belt worn around the participants’ waists [25]. The test began with a minimum load of 2.5 kg, and the weight was progressively increased by 1 kg increments until participants reached their maximum strength level. Each participant was allowed up to five attempts to avoid premature fatigue or upper extremity muscle failure, ensuring accurate and valid results.
For the remaining tests, including the assessment of explosiveness and speed, participants were allowed three attempts for each task, with the best result taken into account for analysis. A three-to-five-minute rest was provided between attempts to minimise fatigue and ensure the maximal reliability of the data. This approach ensured standardised testing conditions and optimal participant performance. The testing was conducted by professionals who were members of the Faculty of Kinesiology, University of Split.
Learning process
The motor learning process took place over a period of five weeks under the expert guidance of professors from the Faculty of Kinesiology in Split. Learning the techniques for throwing the javelin, shot put, and discus requires a combination of acquiring specific motor patterns and physical preparation. Throughout the motor learning process, the participants progressed through several key stages. The first phase involved a technical analysis of each throwing discipline, with a focus on the biomechanics of movement, optimal throwing angles, and sequence of movements. This initial assessment, conducted precisely, made it possible to precisely identify the specific requirements for each discipline.
After the initial assessment, participants learned the fundamental technical aspects, such as the proper starting stance, optimal body positioning, movement and weight transfer, and the correct grip and handling of the throwing equipment. During this phase, special emphasis was placed on developing stability, balance, and power distribution throughout the entire movement. The process then advanced to more challenging exercises after mastering the basic technical aspects. These exercises focused on enhancing coordination throughout the entire movement, increasing take-off and rotation speed, and improving the explosive power required to achieve the maximum throwing distance. This phase also involved refining the transfer of kinetic energy throughout the body, with an emphasis on bio-mechanical efficiency. The final phase of the process, the corrective measures, was a crucial part of the training. During this phase, the instructors carefully analysed the participants’ performance and provided feedback to address any technical errors. This phase aimed to improve the throwing performance and achieve the best possible result.
Statistical analysis
All data were analysed using dell Statistical version 13.0 (Dell Inc., Round Rock, TX, USA) and are presented as mean ± SD. Assumptions of normality of distribution were tested with the Kolmogorov–Smirnov test with Lilliefors correction. The reliability of the variables assessing power was tested by determining the systematic bias and retest correlation. The systematic bias between the 3 consecutive trials was calculated by a 1-way analysis of variance for repeated measures (rm ANOVA), which was also used to assess performance changes across the initial, transitive, and final measurements for SP, JT, and DT. The assumption of sphericity was checked, and if violated, Greenhouse-Geiser adjustments of the p-values were reported. To compare the means, the bonferroni post hoc test was employed to determine the magnitude of differences, with Cohen’s d used as the effect size (ES) metric. The effect sizes were categorised using the following thresholds: < 0.2 as trivial, 0.2–0.6 as small, 0.6–1.2 as moderate, 1.2–2.0 as large, 2.0–4.0 as very large, and > 4.0 as extremely large [26]. The Intraclass Correlation Coefficient (ICC) was calculated from the ANOVA for repeated measures to determine the test-retest correlation with a 95% confidence interval. ICC values were classified according to Hopkins [27]. Additionally, the coefficient of variation (CV) was calculated. The Inter-item correlation (IIr) and Cronbach’s alpha (α) were calculated with the aim to assess the objectivity of the judges for three specific athletic skills evaluations. Principal Component Analysis (PCA) with varimax normalised rotation was used to determine the factor structure of the variables assessing strength and power. Factor scores were then used in a regression analysis to determine the influence of certain dimensions of strength and power on the success in the discus throw, shot put and javelin throw in the initial, transitory and final measurements. The factor scores were then used in a regression analysis to determine the influence of certain dimensions of strength and power on the success in the discus throw, shot put, and javelin throw in the initial, transitive, and final measurements. For significance testing, alpha was set at p < 0.05.
Results
The results were initially processed using descriptive statistics, and Table 2 presents the key predictive variables of strength and explosive power in the tested throwing disciplines. The results of the strength tests demonstrated pronounced variability among the participants, as evidenced by the values for bench press (82.08 ± 14.96 repetitions), deadlift (112 ± 30.16 kg), and pull-ups (26.76 ± 8.34 repetitions). This variability indicates heterogeneity in individual capabilities across the assessed strength parameters.
Table 2
Descriptive statistics of predictive variables
[i] BP – bench press, DL– deadlift, PU – pull up, 5m – 5-metre sprint, 10m – 10-metre sprint, 20m – 20-metre sprint, MBT3 – medicine ball throw with 3 kg, MBT5C– chest medicine ball throw with 5 kg, MBT5OH – overhead medicine ball throw with 5 kg, SLJ – standing long jump, ST – Sargent jump test, TJ – triple jump
The statistical analysis results shown in Table 3 confirm the high reliability and homogeneity of the tests used to assess explosiveness. The Kolmogorov–Smirnov test with Lilliefors correction analysed the normality of the data distribution, while the intraclass correlation coefficients (ICC) confirmed the stability of the results between repeated measurements. High ICC values, such as 0.91 for the standing jump and 0.86 for the 5-m sprint, indicate the consistency and precision of the tests.
Table 4 represents the factor structure of all applied tests. Based on the factor structure, there are two mechanisms (two factors) that are responsible for the complete definition of the analysed motor space. Depending on the partial projections, the first factor (F1) can be called strength. The second factor (F2) is primarily defined by the variables for assessing the type of running power and will be called power.
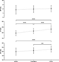
Figure 1 shows the progression in performance for each throwing discipline. A repeated-measures ANOVA revealed performance changes across the initial, transitive, and final measurements for SP, JT, and DT, revealing significant effects of time (F = 4.26, p = 0.024; F = 54.44, p < 0.001; F = 12.92, p < 0.001, respectively). Pairwise comparisons showed significant improvements in JT from the initial to transitive (p < 0.001, ES = 0.77 [moderate]), and transitive to final (p < 0.001, ES = 0.64 [moderate]) measurements. Similarly, DS increased significantly from the initial to final (p < 0.001, ES = 0.77 [moderate]) and transitive to final (p = 0.01, ES = 0.45 [small]) measurements. In SP, performance improved with a trend towards significance between the initial and final measurements (p = 0.056, ES = 0.31 [small]).
Table 3
Reliability of variables assessing power
[i] 5m – 5 metre sprint, 10m – 10 metre sprint, 20m – 20 metre sprint, MBT3 – medicine ball throw with 3 kg, MBT5C – chest medicine ball throw with 5 kg, MBT5OH – overhead medicine ball throw with 5 kg, SLJ – standing long jump, ST – Sargent jump test, TJ – triple jump, T1,2,3 – consecutive trials, ICC (95%CI) – intraclass correlation coefficient with 95% confidence interval
Table 4
Factor structure of the variables assessing strength and power
[i] BP – bench press, DL– deadlift, PU – pull up, 5m – 5-metre sprint, 10m – 10-metre sprint, 20m – 20-metre sprint, MBT3 – medicine ball throw with 3 kg, MBT5C– chest medicine ball throw with 5 kg, MBT5OH – overhead medicine ball throw with 5 kg, SLJ – standing long jump, ST – Sargent jump test, TJ – triple jump, λ – eigenvalue, F1 – first factor: strength, F2 – second factor: power
The highest coefficients of multiple correlation and coefficients of determination were in the final measurement for all athletic skills (SP: R = 0.58, R2 = 0.33; JT: R = 0.50, R2 = 0.26, DT: R = 0.49, R2 = 0.25), while at the initial measurement time, these values were lowest (SP: R = 0.44, R2 = 0.18; JT: R = 0.12, R2 = 0.02, DT: R = 0.19, R2 = 0.09). This is logical since the subjects acquired learning skills over the time of the investigation (Table 5).
Table 5
Influence of latent dimensions on the success in the shot put, javelin and discus throw during initial, transitive and final measurements
| Variable | Initial | Transitive | Final | ||||
| β | p | β | p | β | p | ||
| SP | F1 F2 | 0.44*** 0.00 | 0.03 | 0.53*** –0.06 | < 0.01 | 0.55*** –0.19 | < 0.01 |
| JT | F1 F2 | 0.11 –0.05 | 0.75 | 0.31 –0.03 | 0.17 | 0.41** –0.31* | < 0.01 |
| DT | F1 F2 | 0.29 0.02 | 0.19 | 0.26 0.21 | 0.12 | 0.49*** 0.10 | < 0.01 |
Discussion
Our study’s primary goal was to investigate the practical implications of specific motor tests on the development of maximum strength and power in learning throwing events. Our findings suggest that tests focused on strength have a significant impact on shot put, particularly in the early stages of training. This is crucial for coaches and athletes to understand, as the heavy weight of the shot put necessitates a focus on initial power for successful performance in shot put, discus, and javelin events. The heavier weight of the shot put also means that athletes need to develop greater strength from the early stages of learning. Previous research by Zhao et al. [28] has highlighted the importance of maximal strength in shot putters, identifying it as a critical factor in early talent identification. In contrast, specific motor skills are less crucial in the early stages of training for javelin and discus throwing due to the lighter weight of the equipment.
The results of this study confirm the significant impact of tests on the development of maximal strength in the final phase of preparation for the shot put, javelin, and discus disciplines. These findings, which highlight the strong correlation between strength and throwing performance, align with previous research that emphasised the crucial role of maximal strength [10]. Numerous studies have demonstrated this correlation, showing that strength, as measured by 1rM in multi-joint exercises like squats and jerks, strongly influences throwing performance [29, 30]. Many athletes utilise resistance training programs to enhance strength and alter muscle architecture. Changes in vastus lateralis muscle thickness and fascicle length have been identified as significant factors, explaining 33% of the improvement in throwing performance [31].
In conclusion, javelin throwing is unique among throwing disciplines in its requirements. It necessitates a run-up in the preparatory phase, unlike the spatially limited disciplines, and places a significant emphasis on explosive power, in addition to maximal strength. These unique aspects of javelin throwing are underscored by the findings of Maeda et al. [32], who established a significant correlation between the javelin throw distance and field tests for maximal and explosive power development using the 100-metre sprints and various long jumps. The results highlight the crucial role of lower body strength in the javelin throw performance and the efficient transfer of power to the upper body during the throw.
Due to the complexity of the technical demands in discus and javelin throwing, the impact of maximal strength becomes significant only in the final stages of technical refinement. Simultaneously, the results indicate that mastering technical elements significantly contributed to performance improvements in the discus and javelin. In contrast, no substantial progress was observed in the shot put, highlighting the critical role of maximal strength. Shot put requires exceptionally high levels of strength, which are essential for generating the force needed to achieve the desired distances [9]. In contrast, in the discus and javelin, precise technical execution, including movement coordination and optimisation of the release angle [33, 34], enabled substantial progress in the early stages of training.
To enhance performance outcomes in throwing disciplines, it is essential to implement training methodologies that simultaneously promote the development of physical capacities and adaptability to the technical demands specific to each discipline. In this context, our research was based on applying a random practice schedule, which previous studies have identified as a practical approach for the long-term retention and transfer of motor skills. This training method fosters adaptability in athletes by exposing them to diverse and unpredictable situations and challenges [35, 36]. The results of our study indicate that a random practice schedule proved highly beneficial. It enabled athletes to gain a deeper understanding of the technical elements of throwing through increased cognitive engagement and the interconnection of different movement patterns. This adaptive approach establishes an effective synergy between maximal and explosive strength development and the technical and cognitive demands specific to throwing disciplines, providing a comprehensive foundation for sustained and long-term performance improvements.
The obtained results are consistent with the findings of Magill and Anderson [37], who highlighted that variability in training, such as practicing different throwing patterns (e.g., overarm, underarm, sidearm), significantly contributes to the long-term acquisition and adaptation of motor skills. Such an approach enables athletes to develop the technical and motor flexibility necessary for effective performance in diverse and dynamic competitive conditions. The systematic implementation of this methodology not only optimises motor learning processes but also establishes a foundation for long-term performance consistency and success in throwing disciplines.
Conclusions
Based on the findings of this investigation, optimising performance in throwing disciplines necessitates the adoption of specific movement patterns tailored to each discipline. These patterns enable the proper execution of the technical elements required for events such as the Shot Put (SP), Javelin throw (JT), and discus throw (DT). Shot put training should emphasise maximal strength from the outset, while the discus and javelin require a focus on technical refinement and explosive power in later stages. In the discus and javelin throwing disciplines, strength and power proved to be key success factors in the final stages of preparation, when the throwing technique was refined to a high level. The implications of these results are significant for the planning and programming of athletics courses, particularly those focused on throwing disciplines.
Furthermore, the findings provide valuable insights for defining training methods integral to the comprehensive and integrative system of athletic preparation for these disciplines. This study has several limitations that should be noted. First, the sample size needed to be bigger, which makes it difficult to generalise the results to the broader population. Also, the participants were homogeneous, as they were all first-year students at a kinesiology faculty. This does provide insight into the results across different age groups or athletes with varying levels of experience in sports. Future research should include a larger number of participants of different ages, genders, and sports levels to increase the applicability of the results. A longer time frame would allow for a better understanding of long-term development and adaptations in throwing.

